撰稿|張君
來源|貝多財經
6月5日,易思維(杭州)科技股份有限公司(下稱“易思維”)遞交招股書,報考在上海證券交易所科創板上市。本次報考上市,易思維計劃募資12.14億元,將用于機器視覺產品產業化基地項目、機器視覺研發中心項目,以及補充流動資金。

據招股書介紹,易思維專注于汽車制造機器視覺設備的研發、生產及銷售,為汽車整車及零部件制造過程的各工藝環節提供機器視覺解決方案。此外,該公司也在軌交運維與航空領域開展了業務布局,持續拓展新的應用場景。
截至2024年末,易思維的產品已應用在一汽-大眾、上汽大眾、廣汽豐田、上汽通用、北京奔馳等合資品牌,比亞迪、江淮、奇瑞、廣汽、東風等自主品牌,零跑、蔚來、理想、小米、小鵬等新勢力品牌,以及海斯坦普、卡斯馬、本特勒、拓普、華翔、匯眾等汽車零部件企業。
此次報考上市,易思維的質量幾何?
一、國投基金清倉退出,郭寅頻繁“套現”
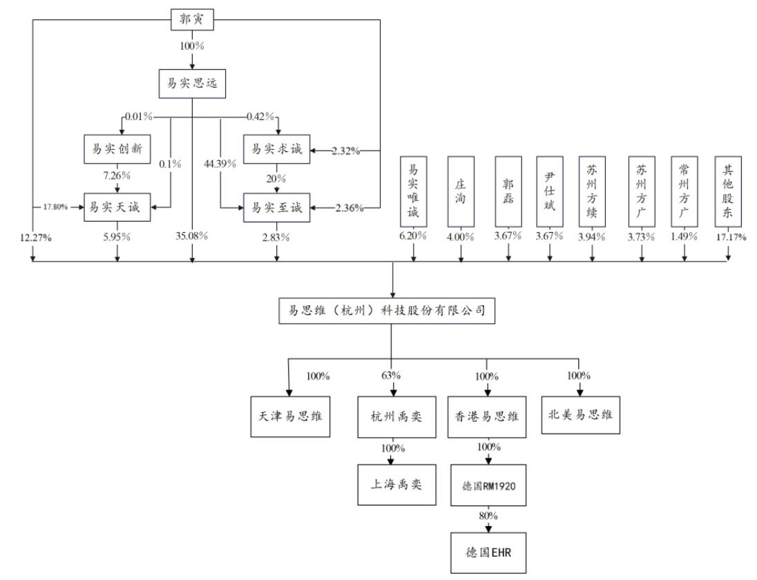
天眼查App信息顯示,易思維成立于2017年12月,位于浙江省杭州市。目前,該公司的注冊資本為7500萬元,法定代表人為郭寅,主要股東包括杭州易實思遠科技有限公司(下稱“易實思遠”)、郭寅等。

據招股書披露,易實思遠為易思維的控股股東,持股35.08%。其中,郭寅持有易實思遠100%的股權。同時,郭寅還直接持有易思維12.27%的股權,并通過易實天誠、易實至誠分別間接控制該公司5.95%、2.83%的股份,合計控制該公司56.13%的股份。

自公司設立以來,郭寅一直擔任易思維的執行董事/董事長、總經理。因此,郭寅為該公司實際控制人。特別說明的是,郭寅曾為清華大學精密儀器系博士后、助理研究員,還一度擔任天津大學精密儀器與光電子工程學院講師、碩士研究生導師職務。
貝多財經發現,國投基金曾是易思維的主要股東之一,但在2025年初卻徹底了退出該公司股東行列,將這部分股權分別轉讓給了安豐元港、安豐富盛、付艷秀、海邦展優、杭州科瑞、蘇州方續、高新科創等,變現約1.53億元。
據招股書披露,國投基金曾持有易思維約5.66%的股權。2024年12月,國投基金與安豐元港、安豐富盛簽訂股份轉讓協議。其中,安豐元港、安豐富盛分別斥資800萬元、1200萬元分別受讓國投基金所持易思維0.30%、0.44%的股權。

2025年2月,國投基金再次與付艷秀、海邦展優、杭州科瑞、蘇州方續、高新科創簽訂股權轉讓協議,付艷秀、海邦展優、杭州科瑞、蘇州方續、高新科創分別斥資2684.38萬元、6600萬元、1000萬元、2000萬元和1000萬元受讓國投基金所持易思維股權。

受讓完成后,國投基金不再是易思維的股東。另在2024年12月,安豐元港、安豐富盛還分別出資400萬元、600萬元分別向郭寅收購了易思維0.15%、0.22%的股權,對應易思維估值約27億元。
2025年4月,郭寅向葉建毅、許建飛分別轉讓了所持易思維0.19%、0.56%的股權,分別作價500萬元、1500萬元,每股成本為36元/股,估值約27億元。據此計算,郭寅在短短半年的時間內就“套現”了3000萬元。
事實上,這并非郭寅第一次對外轉讓所持易思維的股權。據招股書披露,2022年6月,郭寅就向盛際福源轉讓該公司0.7056%股權,作價1270萬元。同年9月,郭寅亦向海邦數瑞、芯泉創投分別轉讓0.8696%、0.6743%股權,分別作價2000萬元、1551萬元。

對于向盛際福源的股權轉讓,易思維在招股書中稱,系外部投資人郭黎、趙敏通過盛際福源間接對易思維投資入股。而對于2022年9月、2024年12月和2025年初的股權轉讓,易思維均歸因于該公司引入外部財務投資者。
對于一家即將上市的公司而言,持股5%以上的股擊退股,并非利好,這一點必將引起上海證券交易所的問詢。這也意味著,國投基金已經提前鎖定收益,實現精準“下車”,也無法享受易思維上市后的估值(市值)猛增帶來的紅利。
二、盈利能力強勁,營收增速下降明顯
就業務成長性來說,易思維的后勁略顯不足。2022年、2023年和2024年,該公司的營收分別約為人民幣2.23億元、3.54億元和3.92億元。其中,2023年的營收增長率高達58.98%,而2024年的營收增長率則僅10.58%。
2022年至2024年,易思維的主營業務收入復合增長率為32.60%。易思維在招股書中稱,該公司在穩固現有行業地位的同時也在積極開拓更多市場,主要措施包括挖掘汽車制造上下游場景、開辟軌交運維領域、推動產品出海等。
當前,易思維的收入主要由汽車制造領域貢獻。報告期內,該公司來自汽車制造領域的收入分別約為2.08億元、3.42億元和3.79億元,分別占其主營業務收入的93.25%、96.42%和96.68%。
相比之下,易思維的盈利能力還算不錯。2022年、2023年和2024年,該公司的凈利潤分別約為538.69萬元、5774.67萬元和8433.17萬元,2022年至2024年的年均復合增長率為295.66%。

2022年、2023年和2024年,易思維的扣非后凈利潤分別約為266.44萬元、4233.71萬元和6171.83萬元,剔除股份支付影響后的扣非后凈利潤分別約為1892.35萬元、5567.21萬元和7034.80萬元。
與之對應的是,易思維的毛利率較高。2022年、2023年和2024年,該公司的綜合毛利率分別為62.69%、64.69%和65.49%,同行業上市公司的平均毛利率分別約為53.68%、53.15%和54.56%。

易思維在招股書中稱,該公司的主營業務聚焦汽車制造行業,覆蓋機器視覺產業鏈的上、中、下游,目前在行業內主要競爭企業均為境外企業,其中伊斯拉系公司多款核心產品直接競爭企業,該公司與伊斯拉可比性最高,毛利率水平也較為接近。
易思維認為額,該公司境內尚無與公司直接可比的上市公司,因此選取了同為機器視覺行業覆蓋產業鏈上、中、下游的上市公司進行比較。報告期內,該公司綜合毛利率相對較高,主要系應用領域和業務模式差異所致。